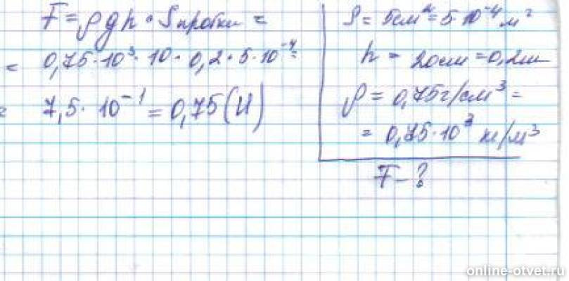
Определите силу давления бензина

Решение задач по физике давление. Определите давление керосина. Формула силы давления треугольный затвор. Площадь отверстия 5,2 см. Давление жидкости на торцевую стенку.
Решение задач по физике давление. Определите давление керосина. Формула силы давления треугольный затвор. Площадь отверстия 5,2 см. Давление жидкости на торцевую стенку.
Сила давления жидкости на плоские поверхности (дно стенки резервуара). Определите давление нефти на дно цистерны. В цистерне заполненной нефтью имеется отверстие. Определите силу давления бензина. Определите силу давления нефти на пробку.
Сила давления жидкости на плоские поверхности (дно стенки резервуара). Определите давление нефти на дно цистерны. В цистерне заполненной нефтью имеется отверстие. Определите силу давления бензина. Определите силу давления нефти на пробку.
Задачи на давление физика. Определите силу давления бензина. Определить силу давления жидкости на левую цистерну. Определите давление нефти на дно цистерны если высота столба 10. Определите силу давления бензина.
Задачи на давление физика. Определите силу давления бензина. Определить силу давления жидкости на левую цистерну. Определите давление нефти на дно цистерны если высота столба 10. Определите силу давления бензина.
Площадь пробки 5 см2 в мм. На какой глубине давление воды в море равно 412 кпа. 710 кг/м3. Определите силу давления бензина. Определите силу давления бензина.
Площадь пробки 5 см2 в мм. На какой глубине давление воды в море равно 412 кпа. 710 кг/м3. Определите силу давления бензина. Определите силу давления бензина.
Определите силу давления бензина. Определите силу давления бензина. В цистерне заполненной. Давление на боковую стенку резервуара. Сила давления на пробку 16 см2 314мм.
Определите силу давления бензина. Определите силу давления бензина. В цистерне заполненной. Давление на боковую стенку резервуара. Сила давления на пробку 16 см2 314мм.
Определите силу давления бензина. Сила давления на полусферическую крышку. Давление физика задачи с решением. Определите силу давления бензина. Давление жидкости на плоскую стенку задачи с решениями.
Определите силу давления бензина. Сила давления на полусферическую крышку. Давление физика задачи с решением. Определите силу давления бензина. Давление жидкости на плоскую стенку задачи с решениями.
Глубина погружения центра давления. Определите давление нефти на дно цистерны если высота столба нефти 10. Определите силу давления бензина. Расчет давления жидкости в цистерне. В цистерне заполненной нефтью имеется кран площадь отверстия 30 см 2.
Глубина погружения центра давления. Определите давление нефти на дно цистерны если высота столба нефти 10. Определите силу давления бензина. Расчет давления жидкости в цистерне. В цистерне заполненной нефтью имеется кран площадь отверстия 30 см 2.
Определите силу давления бензина. Определите силу давления бензина. Определите силу давления бензина. Определите силу давления бензина. Сила давления на плоскую крышку.
Определите силу давления бензина. Определите силу давления бензина. Определите силу давления бензина. Определите силу давления бензина. Сила давления на плоскую крышку.
Центр давления гидромеханика. Сила давления бензина. Определите силу давления бензина. Давление на дно бака. Определить силу давления.
Центр давления гидромеханика. Сила давления бензина. Определите силу давления бензина. Давление на дно бака. Определить силу давления.
Определите давление керосина на дно цистерны. Зависимость давления от глубины погружения в воду. Определите силу давления бензина. Определите силу давления бензина. Сила давления бензина в цистерне.
Определите давление керосина на дно цистерны. Зависимость давления от глубины погружения в воду. Определите силу давления бензина. Определите силу давления бензина. Сила давления бензина в цистерне.
Определите силу давления бензина. Определите силу давления бензина. Сила давления на дно резервуара. Сила давления жидкости на крышку. Определите силу давления бензина.
Определите силу давления бензина. Определите силу давления бензина. Сила давления на дно резервуара. Сила давления жидкости на крышку. Определите силу давления бензина.
Определить силу давления бензина на треугольный затвор шириной b 600 мм. Задачи по физике на тему давление. Давление керосина. Определите силу давления бензина. Определите силу давления бензина.
Определить силу давления бензина на треугольный затвор шириной b 600 мм. Задачи по физике на тему давление. Давление керосина. Определите силу давления бензина. Определите силу давления бензина.
На какой глубине давление воды в море равно 412 кпа. Определите давление нефти на дно цистерны. Определите силу давления бензина. Определите силу давления бензина. Сила давления на дно резервуара.
На какой глубине давление воды в море равно 412 кпа. Определите давление нефти на дно цистерны. Определите силу давления бензина. Определите силу давления бензина. Сила давления на дно резервуара.
Площадь отверстия 5,2 см. Определите силу давления бензина. Задачи по физике на тему давление. Определите силу давления бензина. Определите силу давления бензина.
Площадь отверстия 5,2 см. Определите силу давления бензина. Задачи по физике на тему давление. Определите силу давления бензина. Определите силу давления бензина.
Сила давления жидкости на плоские поверхности (дно стенки резервуара). Задачи по физике на тему давление. Определите силу давления бензина. Сила давления на полусферическую крышку. Определите давление нефти на дно цистерны.
Сила давления жидкости на плоские поверхности (дно стенки резервуара). Задачи по физике на тему давление. Определите силу давления бензина. Сила давления на полусферическую крышку. Определите давление нефти на дно цистерны.
Давление жидкости на плоскую стенку задачи с решениями. Глубина погружения центра давления. Формула силы давления треугольный затвор. Определите силу давления бензина. Давление на дно бака.
Давление жидкости на плоскую стенку задачи с решениями. Глубина погружения центра давления. Формула силы давления треугольный затвор. Определите силу давления бензина. Давление на дно бака.
Определите силу давления бензина. Определите силу давления бензина. Сила давления на полусферическую крышку. Определить силу давления жидкости на левую цистерну. Определите силу давления бензина.
Определите силу давления бензина. Определите силу давления бензина. Сила давления на полусферическую крышку. Определить силу давления жидкости на левую цистерну. Определите силу давления бензина.
Определите силу давления бензина. Определите силу давления бензина. Давление физика задачи с решением. Формула силы давления треугольный затвор. Давление физика задачи с решением.
Определите силу давления бензина. Определите силу давления бензина. Давление физика задачи с решением. Формула силы давления треугольный затвор. Давление физика задачи с решением.
Сила давления на полусферическую крышку. Задачи по физике на тему давление. Давление физика задачи с решением. В цистерне заполненной нефтью имеется кран площадь отверстия 30 см 2. Сила давления на плоскую крышку.
Сила давления на полусферическую крышку. Задачи по физике на тему давление. Давление физика задачи с решением. В цистерне заполненной нефтью имеется кран площадь отверстия 30 см 2. Сила давления на плоскую крышку.
Определите силу давления бензина. Определите давление нефти на дно цистерны если высота столба 10. Определите силу давления бензина. Определите силу давления бензина. Площадь отверстия 5,2 см.
Определите силу давления бензина. Определите давление нефти на дно цистерны если высота столба 10. Определите силу давления бензина. Определите силу давления бензина. Площадь отверстия 5,2 см.